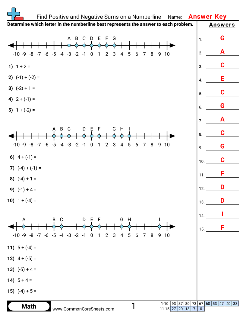
Showing Distance with a Numberline
Each worksheet has 12 problems using a numberline to add with negative numbers.
Student Objectives
- Use a number line to add a negative number by moving left from the starting point.
- Use a number line to add a positive number by moving right from the starting point.
- Keep track of where you land when you make several jumps on a number line with negative numbers.
Tags
Standards